Un diagrama de sectores es aquel tipo de diagrama que tiene forma de círculo. Esto se utiliza para representaras datos estadísticos que quedan representados en formas de sectores.
En el diagrama de sectores, cada dato que contiene es representado por un sector, el que es que proporcional con la frecuencia. Se dice que el diagrama de sectores se puede usar para todo tipo de variables, pero mayormente se usa para las variables cualitativas.
LEA TAMBIÉN: CÓMO RECIBIR NOTIFICACIONES DE TWITCH
El diagrama de sectores tiene claramente todos sus datos representados en un círculo dividido en sectores. Por lo tanto no debe tener ningún tipo de equivocación. De modo que el ángulo de cada sector es proporcional a la frecuencia absoluta correspondiente.
Es necesario tener en cuenta que la para su realización, el diagrama de sectores se construye con la ayuda de un transportador de ángulos.
Puntos a tener en cuenta antes de realizar el diagrama
Se pueden diseñar diversos diagramas de sectores, sin embargo ten en cuenta los siguientes datos para que puedas hacerlo de forma correcta.
- Reunir toda la información que se necesite, al igual que diversos materiales como papel milimetrado, transportador de ángulos, calculadora, regla e incluso colores.
- Luego se debe trabajar con los datos recopilados y realizar una tabla de datos.
- Una vez terminada la tabla de datos, se elabora el diagrama de sectores y para esto se debe hacer lo siguiente:
- Hacer la circunferencia e incorporar en forma de gráfica, toda la información de la tabla de datos.
- Al colocar la información, se debe hacer el cálculo del área que pertenece al valor de cada uno de los datos.
- Es necesario hacer la sumatoria del total de la información que se esté recopilando.
- Cada porciones debe tener un color que se haya calculado y se debe incluir toda la información que sea necesaria.
Diagrama de sectores ejemplificación
Un ejemplo de diagrama de sectores es que en una clase de 30 alumnos, 12 juegan a baloncesto, 3 practican la natación, 9 juegan al fútbol. Pero el resto no practica ningún deporte.
¿Cómo se puede representar los datos en un diagrama de sectores? Se debe calcular el ángulo correspondiente aplicando regla de tres directa.
Por lo tanto el resultado será:

¿Cómo hacer el diagrama de sectores paso a paso?
Para poder realizar un diagrama de sectores de un determinado conjunto de datos, como los mencionados anteriormente, previamente necesitamos saber la frecuencia relativa de cada dato.
Una vez tenemos las frecuencias, debemos calcular el ángulo correspondiente a cada dato. Eso quiere decir que será proporcional a cada frecuencia. A mayor frecuencia, el sector será más amplio y a menor frecuencia el sector será más pequeño.
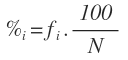
La fórmula para calcular el ángulo de cada sector es:

Donde f corresponde a la frecuencia de cada dato y N es el número total de datos.
La suma de los ángulos de todos los sectores es igual a 360º.
Los ángulos nos sirven para poder dibujar cada sector, pero lo que cada sector representa es un porcentaje con respecto al total de datos, por tanto, hay que calcular el porcentaje de cada sector e indicarlo en cada uno.
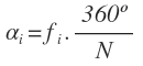
La fórmula para calcular el porcentaje de cada sector es:

Donde una vez más, f corresponde a la frecuencia de cada dato y N es el número total de datos.
La suma de todos los porcentajes es igual al 100%.
Tome nota
Realizar un diagrama de sectores con los siguientes datos no agrupados:
Tales como 1,1,3,3,1,4,5,5,2,4,2,3,2,4,2
Ahora lo que debemos hacer es la tabla de frecuencias para obtener la frecuencia de cada dato, así como el número total de datos:

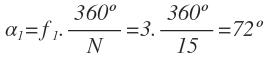
Luego vamos a ir calculando qué ángulo corresponde a cada sector mediante la fórmula:

Para el dato 1, sustituimos la frecuencia por 3 y el número total de datos por 15 y nos queda un ángulo de:

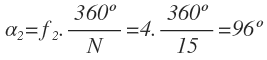
Hacemos lo mismo para el dato 2 y resulta un ángulo de:

Y así sucesivamente hasta obtener todos los resultados para el diagrama de sectores.
Una vez tenemos los ángulos, vamos a representar cada sector en el diagrama de sectores. Para ello, dibujamos un círculo y un radio vertical que el centro del círculo con la parte superior de la circunferencia.
Tenga en cuenta que la línea nos servirá de base para dibujar el sector del dato 1, que tiene un ángulo de 72º. Por medio de un transportador de ángulo dibujamos el ángulo, teniendo en cuenta que los ángulos se van dibujando en el sentido de las agujas del reloj.
Posteriormente , sobre la línea deberemos transportamos al segundo ángulo, para representar el sector del dato 2, que es de 96º. Y siguiendo el mismo procedimiento, vamos dibujando en orden los sectores de los datos 3, 4 y 5.
Una vez tenemos todos los sectores, podemos borrar los ángulos y pintar cada sector de un color para diferenciarlos más visualmente. Recuerda que el diagrama de sectores debe tener claro el indicativo para cada sector de acuerdo a los datos.
Por último, deberás indicar el porcentaje del total que corresponde a cada sector, que lo haremos mediante la fórmula.

Con esa fórmula podrás sacar todos los porcentajes. Añadimos el valor de cada porcentaje a cada sector y nos queda el diagrama de sectores totalmente terminado:

Cualquier duda extra no dude en consultar las páginas de ayuda matemática.




